我司业务范围:快速开业注册/财税代理/专项审计及清缴报告/政府预决算/劳务派遣/资质证书申请认定/商标专利注册/高企、科技项目代理申报/股改上市融资
更多的科技政策信息,还可通过以下途径了解和咨询:
合作热线:
1.嘉应·广州办事处:广州市天河区燕岭路120号金燕大厦905房
189 2506 1970(王先生)
2.嘉应·佛山顺德嘉旺:佛山市顺德区大良南国中路29号顺兴花苑2层2号写字楼
136 0032 1188(段先生)
3.嘉旺·睿旺公司:佛山市顺德区大良南国中路29号顺兴花苑2层3号写字楼
136 0032 1188(段先生)
4.嘉应·梅州百业旺办事处:梅州市梅区县剑英大道山水城锦绣国际家具博览中心B10栋4楼430
151 1937 7484(饶小姐)
5.嘉应·清远办事处:清远市新城东二号区十三号商业大厦603号
151 1372 2640(肖小姐)
6.嘉应·中山办事处:中山市石岐区龙井南路3号置贤大厦2416房
135 5610 0770(钟小姐)
7.嘉应·深圳办事处:深圳市南山区深南大道12069号海岸时代公寓东座2319
159 1977 0284(赵先生)
8.嘉应·梅州企盈办事处:兴宁市兴城宝华园C栋第17卡门店
189 3345 8933(陈小姐)
9.嘉应·广州语晨科技金融:广州市天河区黄埔大道中336号第六层18665633222 (贺先生)
————————————————————————————————————————————————
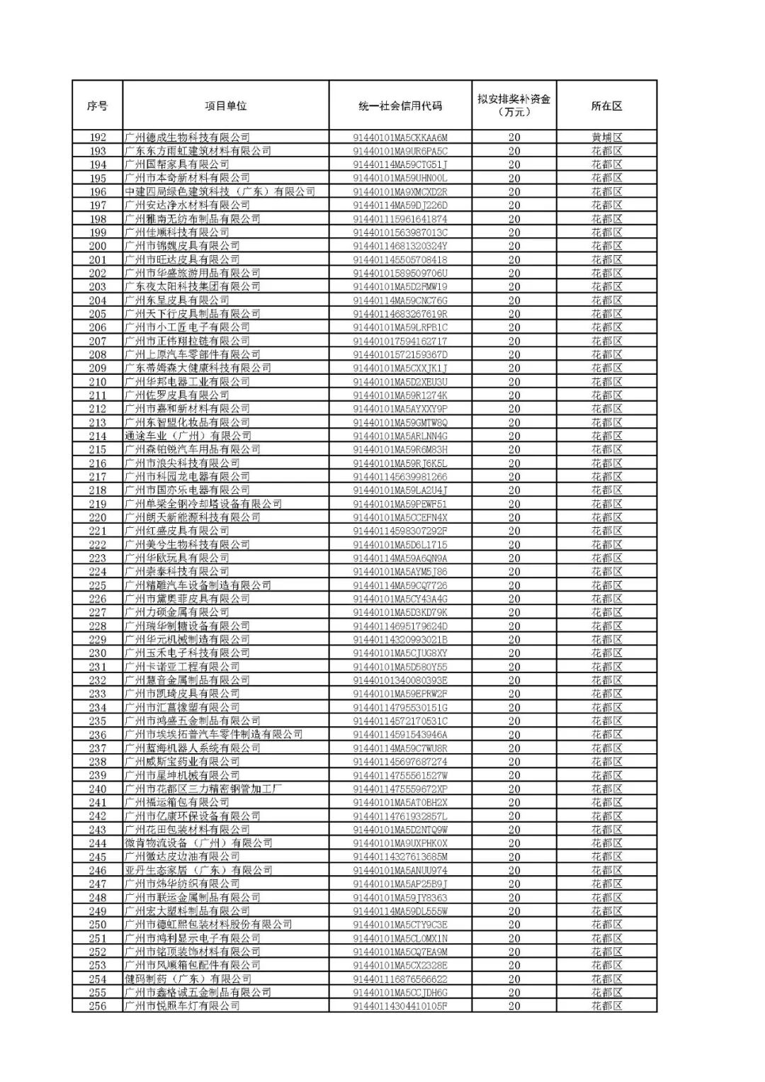
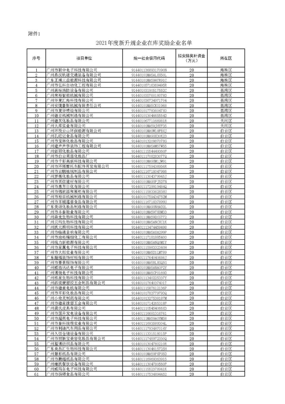
根据《广州市工业和信息化局关于促进小微工业企业上规模发展奖补政策的通知》(穗工信函〔2023〕272号),现将市级促进经济高质量发展专项资金(促进小微工业企业上规模)项目拟奖补企业(名单见附件1、2)予以公示。公示期:2025年5月28日至6月4日(5个工作日)。
对公示内容如有异议,请在公示期内以书面形式反映(地址:广州市越秀区东风中路268号广州交易广场26楼广州市民营经济和中小企业局创业创新服务处,联系电话:83726612,邮编:510032)。以个人名义反映情况的,请提供真实姓名、联系方式和反映事项书面证明材料等;以单位名义反映情况的,请提供真实单位名称(加盖公章)、联系人、联系方式和反映事项书面证明材料等。
附件:
1.2021年度新升规企业在库奖励企业名单
2.2023年度新开业(投产)升规企业奖励企业名单
广州市工业和信息化局
2025年5月28日
查看完整附件请点击https://gxj.gz.gov.cn/yw/tzgg/content/post_10286187.html

18925061970



